I was just reminded of "Through the Looking Glass", a scene in which if you approached someone, he got farther from you. Trying to chase an FTL spacecraft has a Looking-Glass aspect, as I discovered while equation-crunching and number-crunching for my story.
FTL0476 was moving away from the solar system at 2c. (The solar system is considered stationary.) If you are stationary, she recedes from you at 2c.
If you chase her at 100 miles/s, she goes further away from you faster -- specifically at 2c + 300 mi/s.
If you chase her at 1000 miles/s, she recedes faster from you at 2c + 3000 mi/s.
If you chase her at a notch under c/2, she recedes at almost infinite speed. If you chase her at a notch over c/2, she now approaches you at almost infinite speed. Now, the faster you go toward her, the slower she comes toward you. I got lucky: a routine speed I use (V = 4c/5) has FTL0476 approaching you at 2c -- precisely the speed she recedes from the solar system.
PS. Can anyone figure out what caused that first pair of signs (Green/Yellow Alert)?



Comments
Hmmm
I would think that it would all depend on the method of the FTL drive. Going faster than c breaks the rules and the math. ('Show me a FTL and I'll show you a time machine...') So the results can be whatever the author dreams up! :)
To me, that doesn’t make sense
To me, that explanation doesn’t make sense. The speed ‘c’ roughly translates to 300 million meters per second (299792458 m/s to be precise. And also the whole world uses the metric system so don’t complain).
So if the ship travels 2c that would be (about) 600M m/s any speed you have along the same vector (you chase the ship) would just subtract from that speed of 600 million meters per second.
Or when talking in ‘c’ only. If the ship travels 2c and you give chase (same vector) at 0.01 c the relative speed of the ship to you would be 1.99c.
But since faster than light doesn’t work in Newtonian / Einsteinian physics anyway, anybody can make up their own rules. And anyone, like me, can complain about those rules too :-)
Anne Margarete
That is true, but...
... do not forget that the faster you move, the more the time slows for you. Due to this, at your speeds close to 'c' the ship will appear to you to recede much faster than at lower speeds, as she will be covering more distance per second of yours.
Lecture Time
Thank goodness my grades are posted.
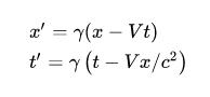
I'm limiting my velocity of the Lorentz Transformation to well below the speed of light, where special relativity is accurate. I did that in my story too. I took V = 4c/5, in the same direction as the FTL ship, making γ = 5/3. Use this pair of equations:
Let's begin with someone chasing FTL at 1000 mph, and go to his frame: V = 1000 mph, and γ = 1 + V2/2c2. I'll decide later if I can take γ = 1.
When FTL first departs, x = 0 and t = 0. This means that x' = 0 and t' = 0.
An hour later, x = 2c*h and t = 1h.
Thus the velocity becomes x'/t'. I'm ignoring all terms with the speed of light to powers greater than one in the denominator. The numbers are just too small. In the final answer, I ignore all terms with c in the denominator.
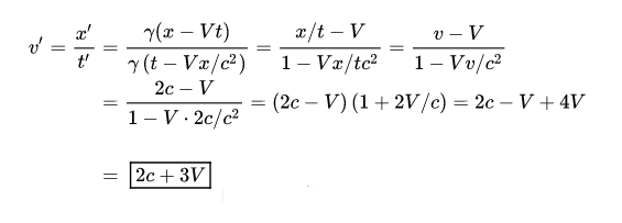
In other words, if a fighter jet chases FTL at 1000 mph, to the pilots, FTL is receding at 3000 mph further than 2c. Just use an arbitrary V that's no more than (say) 1000 mi/s, and make certain approximations. Always, the initial quantities are t' = 0 and x' = 0. The later quantities are an arbitrary t, and x = 2ct:
The conclusion is that if V is sufficiently small, chasing the faster-than-light FTL means that the FTL is receding from it all the more.
*****
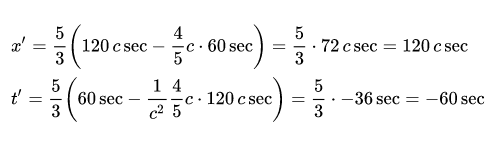
Now for the freighter: its velocity is V = 4c/5 in the same direction as the FTL. Sixty seconds after launch, x = 120 c*sec and t = 60 sec:
The velocity is now x'/t' = -2c, meaning that it's going in the opposite direction. (One could argue that it's going backwards in time. It started out at t = 0, and flew to t = -60 s.)
-- Daphne Xu
Simpler
I was confused by Daphne's results, until I used the addition of velocity formula, u' = (u-v)/1-uv/c^2). Once one gets the sign of v right here, one recovers the numbers that Daphne got, with less work.
Extra credit: What happens if the chasing ship is moving at c/2???
That Formula
You may have noticed that I derived that formula after the line, "The later quantities are an arbitrary t, and x = 2ct:" I derived the numbers, because I wanted to make it clear that I was using positions and times in the slower frame.
I refused to even attempt to go to FTL's frame.
-- Daphne Xu
Insinuation?
Is the system insinuating something about my post or comment? I just noticed this at the bottom:
-- Daphne Xu
Oddly
Oddly, I see the exact same suggestions. Who can fathom the depths of the algorithm.
Your friend
Crash
Approaching
If I understand it correctly, the main cause of the paradox at low speeds is time dilation but the main cause of the paradox at high speeds is the relativity of simultaneity. If I assume that the speed of FTL0476 is constant and you are chasing it at v > c/2 after meeting it, it shouldn't appear to approach you but it should appear to fly away in the opposite direction. I think that the distance should flip signs the same way as the speed but I have no time to calculate it.
epain
Distance
Position of the FTL at 2c, and you (or me) chasing it at V=c/2. That makes γ = 1/sqrt(1 - V2/c2) = 2/sqrt(3). They pass at position and time zero. I'm going to leave t as itself -- perhaps set t = 1 min, but keep writing t. Then x = 2ct.
x' = γ(x - Vt) = 2/sqrt(3) * (2ct - ct/2) = 2ct/sqrt(3) * 3/2 = ct*sqrt(3)
t' = γ(t - Vx/c2) = 2/sqrt(3)(t - 1/2 * 2t) = 0
I suggested t = 1 min, but t could have been anything. In your (my) frame, FTL is everywhere at time zero, and nowhere at any other time.
BTW: this really happens down at elementary particles. If one thinks of the Feynman-Diagram method as simply a way of calculating QED, there's really no paradox.
-- Daphne Xu
Add or Subtract a Minute Amount
Instead of V = c/2, I'll try V = c(1/2 + ε), and ignore all powers of ε greater than one -- ε is a tiny quantity, such as 10-10.
It turns out that x' is unchanged to 1st order in ε, and t' = -4εt/sqrt(3) -- positive if we're just below c/2, negative if just above.
-- Daphne Xu
The Reason Behind All This
Just the same but a notch more: reaching and surpassing the speed of light, versus just below the speed of light.
I'm trying to fight that notion. The two are completely different. I hesitate to call it Newtonian thinking, because it denigrates Newton too much. Those who deny a century and a quarter of modern physics, tend also to deny -- or be oblivious to -- Newtonian physics.
It would be wonderful to discover something new in postmodern physics, experimentally or observationally verified, that allows for faster-than-light travel. But I get the sense that science would be damned if you do, damned if you don't. If scientists don't discover such a new thing, then we're stuck below the speed of light.
If scientists do discover that new thing, we'll hear the world about, "I knew it all along!" "Scientists don't know anything!" and variations thereof. "First, they said it's impossible to surpass the speed of light. Now they say..."
-- Daphne Xu